Question:
How do I use the Remap Constraint for Topology Optimization?Applies to:
- Remap Constraint
- Topology Optimization
Answer:
The Remap Constraint block can generate novel geometry with Topology Optimization in nTop. It enforces geometry-based constraints on the design space by leveraging nTop’s unique ability to manipulate scalar and vector fields. The block is named after the Remap Field block that follows a similar technique to perform geometric operations on implicit bodies like shape transformation, mirroring, sectioning, patterning, surface extrudes, and many more applications. Here’s an example of a weave pattern generated from cylindrical wires with the Remap Field block.
Remap primer
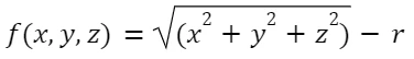
All implicit bodies in nTop are represented as fields called ‘signed distance fields.’ These fields are generated by signed distance functions which are equations that usually represent geometry. For instance, the signed distance function of a sphere of radius ‘r’ at the origin of an orthogonal space is :







Examples:
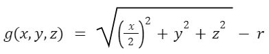
1. Remap Constraint for Symmetry
Here is an example of topology optimization with symmetry on the yz-plane (x component) and the xy-plane (z component) enforced by a remap constraint. The equation gives the input to the remap block:

- A minimize Structural Compliance objective for a set of loads at the holes on the sides with the hole at the center completely restrained.
- A Volume Fraction Constraint that keeps the volume of the optimized geometry under 25% of the original design volume.
- A Passive Region Constraint that prevents material removal from the hole at the center.
2. Remap Constraint for Extrusion
Here is an example of a Topology Optimization where the Remap Constraint block maintains a consistent profile along the user-defined direction. This constraint is similar in function to the Extrusion Constraint block for Optimization. The simplest way to implement this is to set the component input in the desired direction to 0. This will ensure that the field values are constant in the direction normal to the x=0, i.e, the yz-plane. The equation below can represent the input to the Remap Constraint block:A table with data: Row 1: , .
Although these remap inputs work well to produce extrudable geometries in simpler profiles, the general approach to imposing an extrusion constraint with the Remap Constraint block is detailed in Example 4. It possesses several advantages and is qualitatively better than the approach used for this example. More on this in Example 4 Example file3. Remap Constraint for combining multiple geometric constraints
An essential feature of the Remap Constraint block is the ability to combine multiple geometric constraints in a Topology Optimization. In this example, we have applied an Extrusion Constraint to the z direction and a Symmetry Constraint in the yz- and xz- planes with the Remap Constraint block by combining the inputs discussed in the previous 2 examples. The equation below can represent the input to the remap constraint block:A table with data: Row 1: , .
Example file4. Remap Constraint for Localized Ribbing
Another essential feature of the Remap Constraint block is to localize a geometry constraint to a user-defined region (highlighted in green). In this example, we have optimized a motorcycle swingarm with Topology Optimization to improve the strength-to-weight performance. The Remap Constraint block was utilized to apply a localized extrusion constraint to generate ribs. This would enable the swingarm component to be manufacturable through non-additive methods such as casting.A table with data: Row 1: , .

- x represents the position vector of all points in the orthogonal space (x,y,z).
- s(x) represents the surface, the signed distance field to the reference surface from which we extrude. This is usually an implicit surface extracted from the geometry being optimized. A value of w is added to ensure that the remapped field is within the user-defined design space being optimized.
- ∇s(x) (the surface gradient, s) extracts the vector field representing the extrusion profile’s surface normal. Multiplying this by s(x) (the scalar field of the implicit surface) produces a vector field that projects any point, x, back to this surface.

- The ability to apply multiple extrusion directions in the same optimization.
- The ability to utilize non-planar extrusion surfaces in the optimization problem.
- An objective is to minimize the compliance of the model for a set of boundary conditions
- A volume fraction constraint to keep the volume of the optimized volume under 50% of the initial volume.


